Barugh Lane, Great Barugh, YO17

Guide Price
£200,000

Not Specified for sale in Malton

A unique development opportunity in Great Barugh for the construction of 2 x semi-detached properties.

Planning approval was granted in July 2016 and the vendor has provided information to show that pre-start on site conditions have been satisfied with the local authority. All potential purchasers should satisfy themselves that appropriate permissions are in place.

Please note that Condition 2 of the planning approval stipulates that a local occupancy clause in in force to satisfy Policies SP2 and SP 21 of the Ryedale Local Plan.

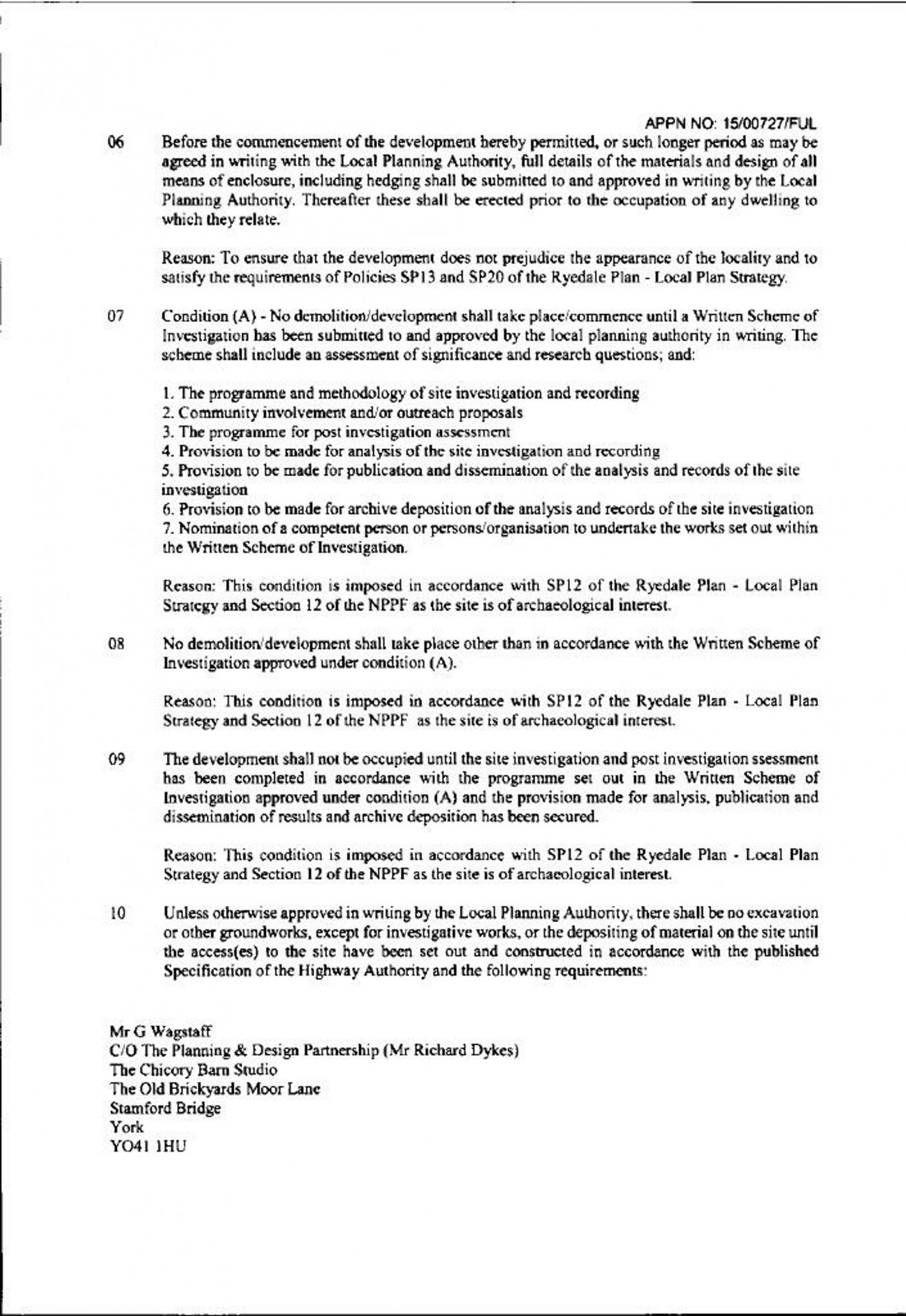
Important Information

  • This is a Freehold property.

Property Ref: 9ffe4a90-5347-46ac-ad43-f6fce712cbd6

Share:

Similar Properties

Barugh Lane, Great Barugh, Malton, YO17 6UZ

Land | Guide Price £200,000

A unique development opportunity in Great Barugh for the construction of 2 x semi-detached properties.Planning approval...

71 Long Meadows, Rillington, YO17 8LY

3 Bedroom Semi-Detached House | Offers Over £200,000

Located in the popular village of Rillington, 71 Long Meadows is a three-bedroom semi-detached property offering a great...

3 Chiltern Place, Malton, YO17 7FU

1 Bedroom Apartment | Guide Price £200,000

Set within an exclusive modern development just moments from Market Street, Flat 3 offers a rare opportunity to live rig...

66 Showground Road, Malton, YO17 7PJ

2 Bedroom Semi-Detached House | Offers Over £205,000

Well-presented 2-bed semi-detached home on Showfield devel. in Malton. Thoughtfully designed with NHBC warranty until 20...

4 Grove Street, Norton, Malton, YO17 9BG

2 Bedroom Terraced House | Guide Price £210,000

Beautiful two-bedroom terraced home in central Norton. Features modern kitchen, landscaped garden, garage with rear acce...

22 The Gallops Norton Malton YO17 9JU

2 Bedroom Semi-Detached House | Guide Price £210,000

Well presented two bedroom semi on a corner plot with gated driveway, private rear garden, spacious living dining room,...

Willowgreen Estate Agents (Malton)

Malton, North Yorkshire, YO17 7LY

01653 916600

How much is your home worth?

Use our short form to request a valuation of your property.

Request a Valuation

Mortgage Calculator

Amount Borrowed: £
Total Amount Repayable: £
Total Monthly Payment: £
©2026 The Guild of Property Professionals. All rights reserved. Terms and Conditions | Privacy Policy | Cookie Policy | Complaints Policy | Members Login
The Guild of Property Professionals Trading Address: 121 Park Lane, London W1K 7AG. GPEA Limited. Registered in England & Wales.  Company No: 02819824.  Registered Office Address: 2 St. Stephen's Court, St. Stephen's Road, Bournemouth, Dorset, England, BH2 6LA.  VAT Registration No: 576 8795 61
Book a Property Valuation Update Cookies Preferences